關注次數:次
商品類型:防堵風量測量裝置
上架時間:2023-10-11
產品描述:在科研、生產、教學、環境保護以及隧道、礦井通風、能源管理部門,常用皮托管測量通風管道、工業管道、爐窯煙道內的氣流速度,經過換算來確定流量,也可測量管道內的水流速度。用皮托管測速和確定流量,有可靠的理論根據,使用方便、準確,是一種經典的廣泛的測量方法。此外,它還可用來測量流體的壓力
咨詢電話:029-88767898
一、產品概述
皮托管,又名“空速管”,“風速管”,英文是Pitot tube。皮托管是測量氣流總壓和靜壓以確定氣流速度,流量的一種管狀裝置。由法國H.皮托發明而得名。
在科研、生產、教學、環境保護以及隧道、礦井通風、能源管理部門,常用皮托管測量通風管道、工業管道、爐窯煙道內的氣流速度,經過換算來確定流量,也可測量管道內的水流速度。用皮托管測速和確定流量,有可靠的理論根據,使用方便、準確,是一種經典的廣泛的測量方法。此外,它還可用來測量流體的壓力。
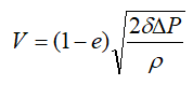
二、工作原理
皮托管的測量原理是基于伯努利方程在空氣中應用的一個實例,皮托管的流速公式為

三、主要技術參數
測量原理 | 差壓原理 |
管線尺寸 | 8mm≤DN≤15000mm |
重復性 | ±0.1% |
流速測量范圍 | 0.5-40m/s |
傳感器精度 | ±0.5%、±1% |
溫度極限值 | -100℃≤t≤550℃ |
壓力極限值 | 0Mpa≤PN≤25Mpa,特殊應用可達40Mpa |
安裝方式 | 法蘭連接、焊接、螺紋連接 |
參照標準 | ISO 3966-197、JB/T5325-1991及GB/T2624-2006 |
量程比 | 在差壓滿足的情況下量程比1:10 |